• Плиззз помогите решить систему уравнений, збс уже целых 4 часа ломаю над этим голову :с

    question img

Ответы 1

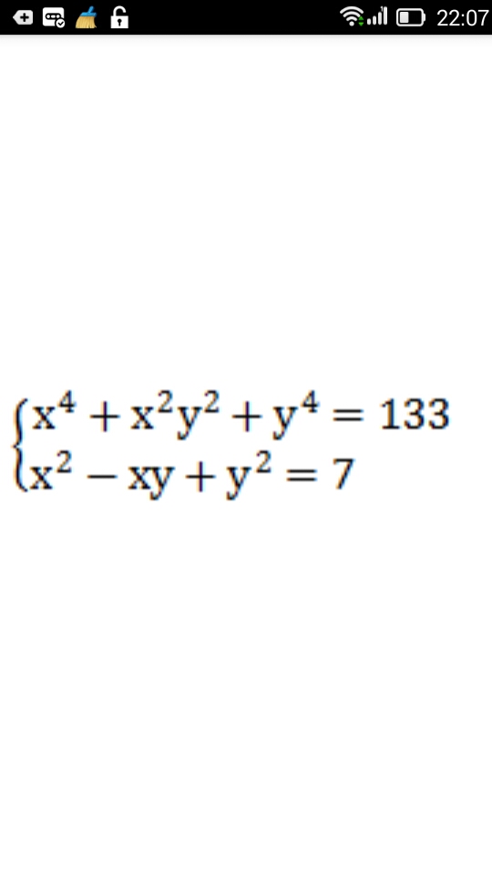
  • 1.x^4+x^2y^2+y^4=133 \\ (x^2)^2+2x^2y^2+(y^2)^2-x^2y^2=133 \\  (x^{2}+y^2)^2 -(xy)^2=133 \\  \\ 2. x^{2} -xy+y^2=7 \\ ( x^{2} +y^2)=7+xy \\  \\ (7+xy)^2-(xy)^2=133 \\ xy=t \\ (7+t)^2-t^2=133 \\ 49+14t+t^2-t^2=133 \\ 49+14t=133 \\ 14t=133-49 \\ 14t=84 \\ t=6 \\ xy=6 \\ (x^2+y^2)=7+xy=13 \\  y=\frac{6}{x}  \\ (x^2+ \frac{6^2}{x^2} )=13 \\ x^4+36=13x^2 \\ x^4-13x^2+36=0 \\ x^2=z \\ z^2-13z+36=0 \\ D=25 \\  \sqrt{D} =5 \\ z1=4 \\ z2=9 \\ x^2=4 \\ x^2=9 \\ x1=2 \\ x2=-2 \\ x3=3 \\ x4=-3 y1= \frac{6}{2}=3 \\ y2=-3 \\ y3=2 \\ y4=-2 \\  \\ Otvet:(2;3);(-2;-3);(3;2);(-3;-2)
  • Добавить свой ответ

Войти через Google

или

Забыли пароль?

У меня нет аккаунта, я хочу Зарегистрироваться

How much to ban the user?
1 hour 1 day 100 years