• помогите пожалуйста! Упростите выражение и с объяснением.

    question img

Ответы 4

  • не все понятно из написанного,из-за подчерка(
    • Автор:

      kaiya
    • 6 лет назад
    • 0
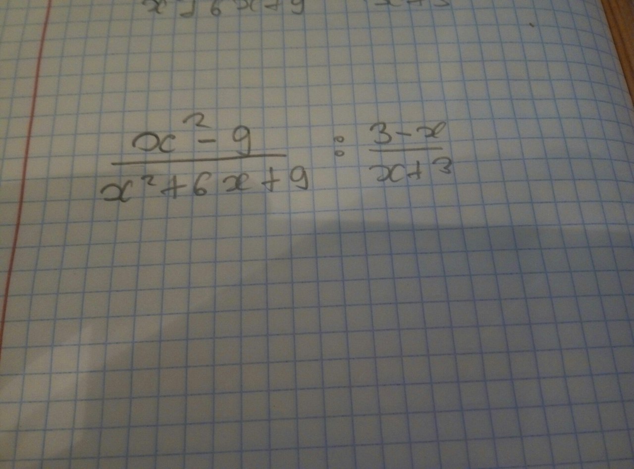
  • Первая дробь в числителе разность квадратов-раскрываем, в знаменателе квадрат суммы - собираем. Вторая дробь в числителе выносим -1 за скобку.
    • Автор:

      tyson40
    • 6 лет назад
    • 0
  • Деление дробь на дробь равносильно ужножению на обратную. Сокращаем одинаковые выражения в числителе и в знаменателе полученной дроби
  • Решениееееееееееееееееееее
    answer img
    • Автор:

      dacio
    • 6 лет назад
    • 0
  • Добавить свой ответ

Еще вопросы

Войти через Google

или

Забыли пароль?

У меня нет аккаунта, я хочу Зарегистрироваться

How much to ban the user?
1 hour 1 day 100 years