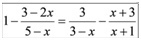
• найти корни уравнения 1- ((3-2х)/(5-х))=(3/(3-х))-((х+3)/(х+1))

    question img

Ответы 3

  • Огромное спасибо
  • Огромное пожалуйста
  • \frac{5-x-(3-2x)}{5-x} =\frac{3(x+1)-(x+3)(3-x)}{(3-x)(x+1)}

    \frac{5-x-3+2x}{5-x} =\frac{3x+3+x^2-9}{(3-x)(x+1)}

    \frac{2+x}{5-x} -\frac{x^2+3x-6}{-x^2+2x+3}=0

    \frac{(x+2)(-x^2+2x+3)-(5-x)(x^2+3x-6)}{(5-x)(3-x)(x+1)} =0

    Дробь равна 0, если числитель равен 0, а знаменатель нет.

    { -x^3-2x^2+2x^2+4x+3x+6-5x^2+x^3-15x+3x^2+30-6x = 0

    { x ≠ -1; x ≠ 3; x ≠ 5

    Приводим подобные

    { -2x^2 - 14x + 36 = 0

    { x ≠ -1; x ≠ 3; x ≠ 5

    Делим на -2

    { x^2 + 7x - 18 = 0

    { x ≠ -1; x ≠ 3; x ≠ 5

    Решаем

    { (x + 9)(x - 2) = 0

    { x ≠ -1; x ≠ 3; x ≠ 5

    Ответ: x1 = -9; x2 = 2

    • Автор:

      fresier
    • 6 лет назад
    • 0
  • Добавить свой ответ

Еще вопросы

Войти через Google

или

Забыли пароль?

У меня нет аккаунта, я хочу Зарегистрироваться

How much to ban the user?
1 hour 1 day 100 years