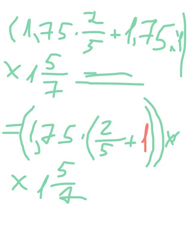
• Простите,что не чёткий пример. подскажите, пожалуйста. почему + 1 и зачем она там?

    question img

Ответы 7

  • либо вы выносите -1.75 за скобки и в скобках становится +. либо выносите просто и в скобках -
  • правильно я понял? ( 1.75 ( 2/5 -1 ))
  • если - то да
    • Автор:

      nathanael
    • 6 лет назад
    • 0
  • я разобрался. спасибо огромное за помощь.
    • Автор:

      oscar1ziv
    • 6 лет назад
    • 0
  • не за что
  • т.к вы вынесли 1.75 за скобку, а оно(число) было в связке с 1( если я правильно поняла, то там умножить на 1) вы выносите а в скобке остается 1. так как по услови. там плюс, то и тут плюс остается

    • Автор:

      elena97
    • 6 лет назад
    • 0
  • Короче смотри благодаря 1 ты превращаешь число в смешанное. Смотри число будет писаться так

    1 2

    _

    5

  • Добавить свой ответ

Войти через Google

или

Забыли пароль?

У меня нет аккаунта, я хочу Зарегистрироваться

How much to ban the user?
1 hour 1 day 100 years