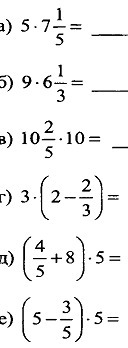
• Вычислите применяя распределительное свойство умножения

    question img

Ответы 1

  • а)5×7 1/5=5×7+5×1/5=35+1=36б)9×6 1/3=9×6+9×1/3=54+3=57в)10 2/5×10=10×10+2/5×10=100+4=104г)3×(2-2/3)=3×2-3×2/3=6-2=4д)(4/5+8)×5=4/5×5+8×5=4+40=44е)(5-3/5)×5=5×5-3/5×5=25-3=22Удачи)))
    • Автор:

      petey
    • 6 лет назад
    • 0
  • Добавить свой ответ

Войти через Google

или

Забыли пароль?

У меня нет аккаунта, я хочу Зарегистрироваться

How much to ban the user?
1 hour 1 day 100 years