• Это вопрос не для детей ! +18 
    ---------

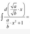
    Этот вопрос меня очень сильно мучает , что  происходит когда мы добавлям пременные под знак дифференциала ?  дифференциал это производная , значт   к этому интегралу нужно домножить (sqrt(a/b) )` //штрих .  ? 

    question img

Ответы 3

  • Думаю, что здесь ошибка,так как dx=1/a*d(ax+b)
  • Так напишите ваше решение.
    • Автор:

      cash87
    • 6 лет назад
    • 0
  •  \sqrt{ \frac{a}{b} }  * \int\limits{ \frac{1}{ \frac{a}{b}  x^{2} +1} } \, dx Числовой множитель выносим за знак интеграла.
    • Автор:

      whispy
    • 6 лет назад
    • 0
  • Добавить свой ответ

Войти через Google

или

Забыли пароль?

У меня нет аккаунта, я хочу Зарегистрироваться

How much to ban the user?
1 hour 1 day 100 years