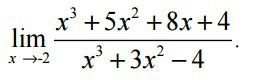
• Подскажите, пожалуйста, принцип нахождения подобных пределов (Неопределённость 0/0)

    question img

Ответы 3

  • Спасибо тебе. Не стоило так напрягаться, мне просто нужно было понять, в каком направлении думать
  • Ты крут
    • Автор:

      coleman
    • 6 лет назад
    • 0
  • рад помочь)
    • Автор:

      molly65
    • 6 лет назад
    • 0
  • Добавить свой ответ

Войти через Google

или

Забыли пароль?

У меня нет аккаунта, я хочу Зарегистрироваться

How much to ban the user?
1 hour 1 day 100 years